CRYOTHÉRAPIE : L'exposition au froid extrême pour traiter la fibromyalgie
La cryothérapie se révèle une thérapie alternative efficace contre certains symptômes majeurs de la fibromyalgie dont la douleur et l'inflammation musculo-squelettiques et permet d’améliorer la qualité de vie des patients atteints. C’est la conclusion de cet essai clinique, mené à l’Université de Reims Champagne-Ardenne et publié dans la revue Complementary Therapies in Medicine. Ces résultats suggèrent que la cryothérapie appliquée au corps entier devrait être considérée comme une approche complémentaire efficace dans le traitement de la fibromyalgie.
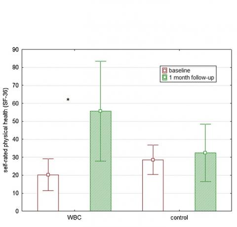
Il a déjà été démontré que le froid peut réduire la douleur et l'inflammation dans de nombreuses conditions, dont les maladies rhumatismales et la fibromyalgie. La cryothérapie apporte un soulagement à court terme de la douleur. Appliquée au corps entier, la cryothérapie déclenche un stress thermique qui favorise la constriction des vaisseaux sanguins et ralentit les signaux nerveux, ce qui permet un soulagement de la douleur. Cette étude française montre que des patients fibromyalgiques, soumis à des interventions de cryothérapie du corps entier (WBC, sur visuel 2) rapportent une amélioration significative de la qualité de vie par la santé physique mais également psychologique. Un résultat primordial alors que la fibromyalgie touche 2 à 4% des adultes, majoritairement des femmes, mais qu’en dépit de cette prévalence élevée, il n’existe aucune option thérapeutique standard efficace.
L’étude a été menée chez 24 patients avec diagnostic de fibromyalgie répartis pour subir soit une cryothérapie du corps entier (n=11), soit poursuivre leurs activités habituelles (groupe témoin : n=13). Les participants du groupe cryothérapie ont bénéficié de 10 séances de cryothérapie du corps entier sur une durée de 8 jours : précisément, les patients ont été soumis à un froid extrême pendant 3 minutes à moins 110 degrés C dans une chambre de cryothérapie « Cryo air » (Mecotec). Toutes les parties sensibles du corps, telles que le visage, les oreilles, les pieds et les mains, ont été protégées pour éviter les dommages aux tissus. La qualité de vie a été évaluée juste avant et un mois après le traitement. L’objectif était de déterminer si la cryothérapie du corps entier pouvait améliorer la perception de la santé et la qualité de vie des patients atteints fibromyalgiques. L’expérience montre que vs groupe témoin,
- les patients du groupe de cryothérapie rapportent une amélioration significative de la qualité de vie ;
- de plus ces effets perdurent au moins un mois après l'intervention.
- le score physique moyen s'est amélioré de 21,3 à 55,6, et le score de santé mentale moyen de 30,1 à 60,4, alors que le groupe témoin ne bénéficie pas de changements significatifs.
Selon les chercheurs, la cryothérapie du corps entier peut être recommandée comme une approche complémentaire efficace à réduire les symptômes et à améliorer la qualité de vie des patients atteints de fibromyalgie : « Avec peu de séances de cryothérapie du corps entier, des améliorations rapides sont constatées à la fois en santé physique et mentale ainsi que sur la qualité de vie des patients ».
Ces premiers résultats justifient de mener des études supplémentaires pour évaluer les avantages à long terme de la cryothérapie du corps entier pour le traitement de la fibromyalgie.
Autres actualités sur le même thème
COVID : Peut-il s’attaquer aux os ?
Actualité publiée il y a 2 années 4 moisMAL de DOS : L'exercice avec restriction du flux sanguin est-il efficace ?
Actualité publiée il y a 6 années 6 moisFIBROMYALGIE : Ce n'est pas un pot-pourri de maladies !
Actualité publiée il y a 9 années 1 moisDYSTROPHIE MUSCULAIRE: Une nouvelle cible thérapeutique prometteuse
Actualité publiée il y a 9 années 10 mois



